I had the opportunity to work with two economists on a paper testing a proposition from my book on conservative broadcasting in the 1960s. I had argued that listening to right‐wing radio hosts like Carl McIntire, Clarence Manion, and Billy James Hargis helped voters who had traditionally identified as Democrats to consider pulling the lever for the GOP instead.
I backed that book with a lot of research—I visited 20 archives in 13 states—but I’m not a numbers guy. I could tell you that Carl McIntire’s radio show aired on a remarkable 400+ stations by 1964 with an estimated listening audience of 20 million (or as many as listened to Rush Limbaugh a generation later), but I couldn’t *prove* the extent to which such programs influenced the voting behavior of listeners beyond the weight of archival anecdote.
Thankfully, there are quants like my co‐authors Oliver Engist and Erik Markus who are numbers guys. It was their idea to test the idea after reading Tianyi Wang’s groundbreaking study of Father Charles Coughlin, which showed persistent anti‐New Deal effects in areas that had a radio station airing Coughlin’s program in 1936.
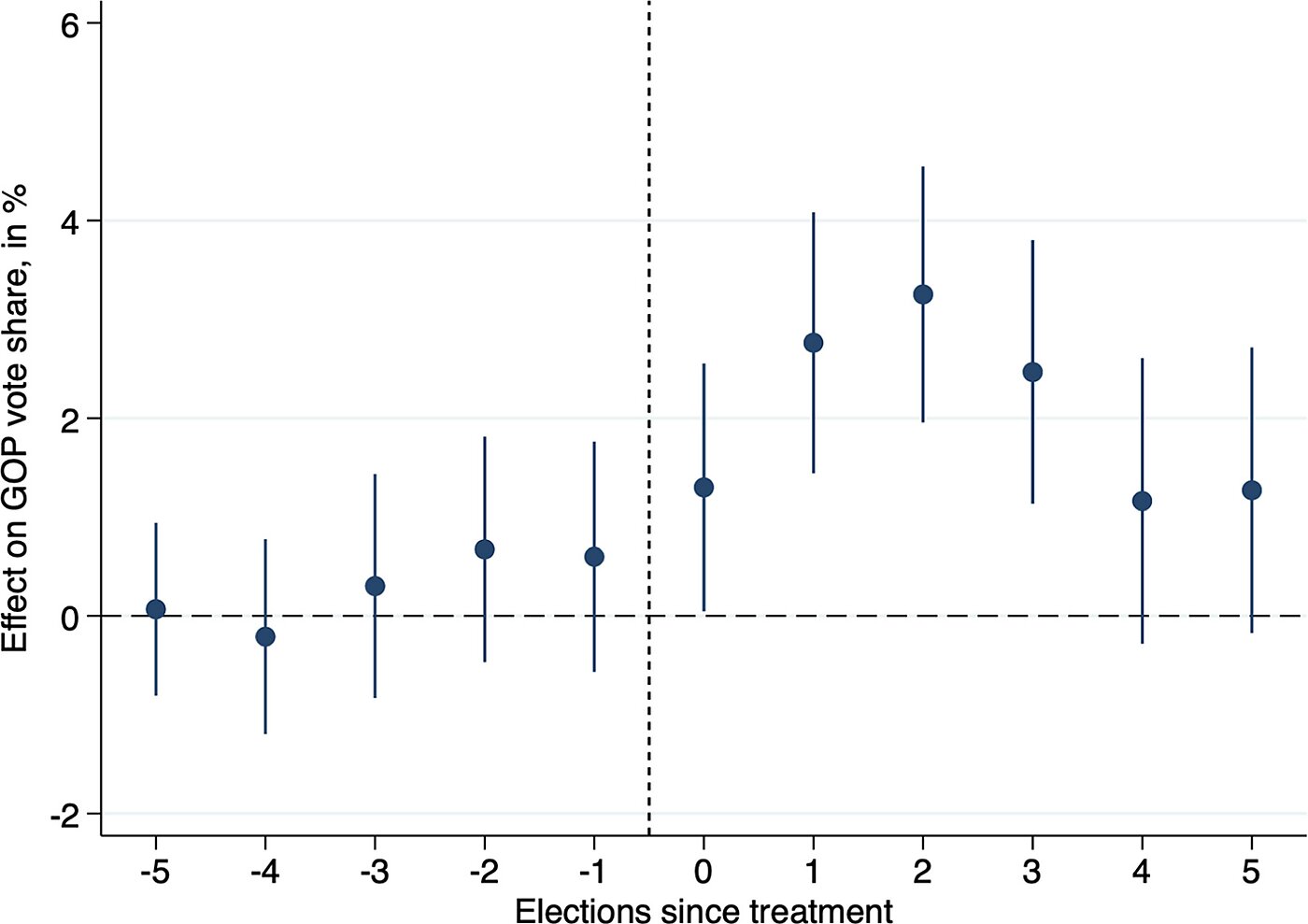
But in the quarter of a century since Coughlin, right‐wing radio had grown dramatically beyond any single broadcaster. So we compiled radio stations that aired any one of the “Big Three” Radio Right broadcasters (McIntire, Manion, & Hargis), and who broadcast on more than a hundred stations each by the early 1960s. We then checked to see if the presence of a station that had recently added one of these programs affected GOP vote share in subsequent election cycles. It did!
To parse the graph, the addition of a right‐wing radio program to a station raised GOP vote share in the county where it was located (and neighboring counties) by 3 percent within two congressional elections relative to other counties that were not near one of these stations. Later on the effect partially wore off as 1) other counties caught up and 2) the Radio Right declined as a result of a massive government censorship campaign in the mid‐to‐late 1960s.
To put that in historian‐speak, we now have quantitative evidence that right‐wing radio accelerated several trends related to the rise of modern conservatism, from the transformation of the Solid South to the rise of Sunbelt politics and cowboy conservatism.
As I wrote in my book, the ability to supply conservative ideas had as important a role to play in the politics of the 1960s as did changes in the demand for those ideas. “Ideas do not just float through the ether like spores infecting human hosts in an ideological invasion of the body snatchers.”
For more data and analysis, you can check out the full, open access article.
Post adapted from the author’s Substack. Click through and subscribe for more insights from the intersection of history and policy.











